Steelhead Need More Than Just “Enough Fish”


Published on March 5th 2026
~
Some parts of a watershed may only be accessible to certain life histories under the right conditions
When most of us think about steelhead health, we think about one thing: how many fish came back this year.

Abundance matters. It drives fishing seasons. It gives us reason for hope. But abundance alone does not tell us whether a population is resilient.

Resilience depends on diversity. Abundance is only a symptom of it.

Steelhead are remarkable for their life history diversity — variation in the age at which fish migrate to sea, how long they remain in the ocean, and whether they spawn once or multiple times. Some offspring never go to sea at all and mature as resident rainbow trout. Altogether, steelhead can express 30 to 40 distinct life history combinations.

A recent scientific paper analyzed 30 years of data from the Hoh River and asked a deeper question: how has life history diversity in wild winter steelhead changed over time?

It’s a critical question given long-term declines in Olympic Peninsula (OP) steelhead and the steady contraction of fishing seasons and opportunity.

Below, I summarize what the study found, how it connects to earlier work on run timing, and implications for population resilience and escapement goals in the Hoh River.
Hoh River Study: Steelhead Losing What Makes Them Unique
Every salmon species has a calling card. Chinook salmon are known for old age and large size. Sockeye salmon rely on lakes and plankton. Pink salmon thrive through sheer abundance and a rigid two-year cycle.

Steelhead’s superpower is diversity.

They display more life histories than any other salmonid in the North Pacific. That diversity spreads risk across space and time, often called the “portfolio effect.” Like a diversified investment portfolio, different life histories perform better under different ocean and river conditions. When one struggles, another may succeed.

Diversity functions as biological insurance.

The Hoh River study found that this insurance policy is waning in two important ways.
First, there has been a significant decline in the oldest ocean-age fish among maiden spawners (see Figure 1 from the study below). The OP is famous for large steelhead, yet both the data and my own long-term observations suggest fewer older, larger fish. Second, repeat spawners have declined sharply. This pattern has been evident for years in both the Hoh and Queets.

These findings may sound academic, but they are not. Older females produce more eggs. Larger males fertilize more eggs. Repeat spawners do something even more important: they connect brood years. If one year of juveniles experiences poor survival, repeat spawners from earlier cohorts can still contribute offspring. That spreads risk across years.

This ability is compromised when diversity is diminished.
Figure 1. (A) Proportion of each life history (age- class; see Scale analysis for a description of age notation) by run year and total age and (B) the Shannon–Wiener diversity index of age- classes by run year for wild adult steelhead returning to the Hoh River, Washington, from 1994 to 2023. From Claiborne et al. (2026).
The author with a bright winter hen
It’s Not Just Age. It’s Also Run Timing.

Life history diversity is not only about ocean age or repeat spawning. It also includes when fish enter the river.
Historically, winter steelhead entered OP rivers across a broad window from November through June. That protracted timing acted like a bet hedge.

Early-arriving fish tend to spawn earlier. Their juveniles often emerge sooner and may benefit from longer growing seasons. They may access smaller tributaries that become too shallow to access later in the season.

Later-arriving adults are more likely to spawn in mainstem habitats and may avoid peak flood events that scour redds earlier in the winter.

Different entry times translate into different spawning windows, emergence timing, and environmental exposure. This hedge spreads risk within a single year.

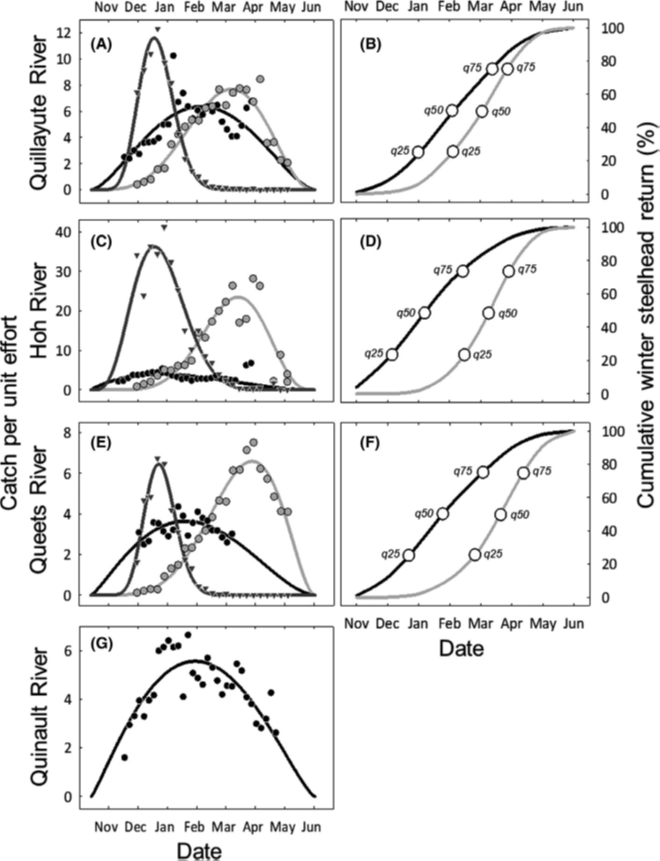
In 2021, a study co-authored by The Conservation Angler scientists found that run timing of wild winter steelhead in OP rivers, including the Hoh, has shifted later and compressed into a narrower window (see Figure 2).

That represents a second loss of diversity.

Together, life history diversity in age spreads risk across years. Run timing spreads risk within a year.
Figure 2. Historical (circa 1955–1963) and contemporary (2000–2017) migration timing estimates based on CPUE of wild and hatchery winter steelhead (left panels) in the (A–B) Quillayute, (C–D) Hoh, and (E–F) Queets rivers, and comparison of cumulative run timing with estimates of dates at which 25% (q25), 50% (q50), and 75% (q75) of the run had passed for historical and contemporary wild winter steelhead (right panels). Dark gray lines and triangles represent contemporary hatchery returns; black lines and black circles represent historical wild returns; and light gray lines and light gray circles represent contemporary wild returns. Run timing estimation in the (G) Quinault River was limited to the historical period because contemporary CPUE data were not available. From McMillan et al. (2021).
Escapement in a Smaller, Younger Population

There is another implication that deserves more attention.

Escapement goals are not simply about how many adult fish cross a counting line. For the OP, they are meant to ensure enough adults escape the fishery to maximize the production of parr, and the number of spawning adults is merely a proxy for reproductive output.

But reproductive output depends on age and size.

Older, larger females produce substantially more eggs than younger, smaller fish. Repeat spawners often carry more eggs than they did during their maiden spawning run. When populations shift toward younger ocean ages and fewer repeat spawners, egg production per returning fish declines.

If escapement targets were developed when fish were older and larger, a fixed numerical goal may no longer deliver the same reproductive output. If populations have also contracted into fewer spawning areas and narrower return windows, juveniles may not be able to access all available habitat.

In other words, a river can “meet escapement” and still underutilize its productive capacity.

That possibility rarely enters public discussion. As steelhead become younger, smaller, and less diverse, managers must rebuild life-history diversity and raise escapement goals to compensate for lost productivity.

Steelhead do not simply need enough returning adults.

They need enough eggs delivered by a sufficient range of life histories to buffer against inter- and intra-annual environmental variability.
Conclusion

Abundance can rebound during a favorable ocean and/or freshwater cycle. Diversity, once diminished, however, takes far longer to rebuild.

While this study is specific to the Hoh, it underscores the importance of collecting scales to evaluate trends over time. Some watersheds may be stable, but in those that are struggling, scale data can help pinpoint which components of the population are not being maintained.

When older fish disappear, repeat spawners decline, and run timing compresses, the population becomes more synchronized and less resilient. The river may still see returning adults, but the biological architecture that once moderated the impacts of floods, droughts, poor ocean years, and shifting climate conditions begins to erode.

Escapement numbers alone cannot tell us whether that architecture is intact.

The question is not only how many fish return.

It is how many ways they return — how old they are, how large they are, how often they spawn, and whether they still carry the full range of strategies that allow steelhead to persist in a rapidly changing and increasingly volatile climate.

~